Prečo štát zaplatil za Voderady trojnásobok? Remišová podáva trestné oznámenie
Máte vypnuté reklamy
Vďaka financiám z reklamy prinášame kvalitné a objektívne informácie. Povoľte si prosím zobrazovanie reklamy na našom webe. Ďakujeme, že podporujete kvalitnú žurnalistiku.
Reakcia Petra Kmeca ku kritike nákupu Voderadov
BRATISLAVA / Komplex vo Voderadoch sa v roku 2021 predal za 5 miliónov eur. O štyri roky neskôr ho štát kúpil za 17 miliónov. Strana Za ľudí podáva trestné oznámenie pre podozrenie z porušenia povinností pri správe cudzieho majetku a zneužitia právomocí verejného činiteľa.
Predsedníčka strany Za ľudí a poslankyňa NR SR Veronika Remišová obvinila predstaviteľov Hlasu zo zavádzania verejnosti v kauze nákupu komplexu Voderady štátom. Podľa jej slov je suma 17 miliónov eur, za ktorú štát komplex odkúpil, neprimerane vysoká a poukazuje na podozrivý obchod.
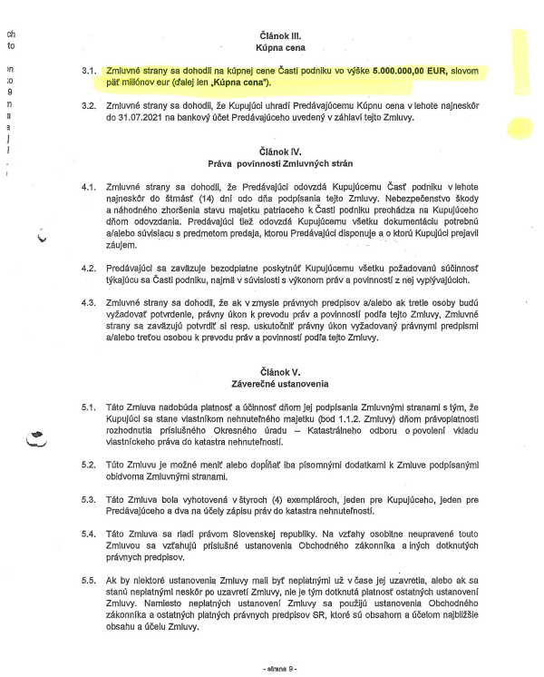
Kúpna zmluva odhaľuje zásadný rozdiel v cene
Remišová poukázala na kúpnu zmluvu z roku 2021, podľa ktorej firma Voderady Property získala celý komplex za 5 miliónov eur. O štyri roky neskôr ten istý komplex odkúpil štát za 17 miliónov eur. "To naozaj si niekto myslí, že cena pozemku so skrachovaným obchodným centrom za 4 roky zázračne stúpla z piatich miliónov na sedemnásť, alebo dokonca na 19 miliónov eur, ako sa to snaží nahovoriť ľuďom odvolaný vicepremiér Kmec?" pýta sa Remišová.
Podľa Remišovej Kmec označil pozemok za "nevyužiteľný", no štát zaň zaplatil obrovskú sumu. "Asi každý človek na Slovensku by chcel, aby jeho nevyužiteľné pozemky, obzvlášť v tejto náročnej dobe, vykúpil za trojnásobok trhovej ceny štát, to sa ale zrejme stane len pri špeciálnych kšeftoch Hlasu," dodala. Zdôraznila, že povinnosťou Kmeca bolo preveriť všetky náležitosti a zistiť, za akú sumu sa pozemok predával v minulosti.
Žiadajú zverejnenie dokumentov a odchod Kmeca
Remišová vyzvala ministra Druckera, aby okamžite zverejnil všetky podklady a dokumenty ku kauze Voderady, ako aj k prípadu dotácií. Očakáva, že sa 17 miliónov eur vráti občanom SR. Zároveň žiadala Kmeca, aby po tomto škandále nadobro odišiel z politiky.
Trestné oznámenie
Strana Za ľudí podáva trestné oznámenie na Generálnu prokuratúru, ku ktorému doloží predmetnú zmluvu a všetky podozrivé skutočnosti. Podpredseda strany Ján Magušin informoval, že ide o podozrenia zo spáchania trestného činu porušovania povinnosti pri správe cudzieho majetku a trestného činu zneužitia právomoci verejného činiteľa. "Sami sme zvedaví na to, ako vysvetlia zázračný nárast ceny pozemkov a celý proces, ktorým odišlo 17 miliónov EUR z peňazí daňových poplatníkov na tento mimoriadne podozrivý kšeft," konštatoval Magušin.
Remišová kritizovala vystúpenie ministra Druckera na parlamentnom výbore pre hospodárske záležitosti. Podľa nej sa Drucker "len trápne vyhovára" a nezverejnil žiadne relevantné dokumenty ani k Voderadom, ani k podozrivým dotáciám. Nesúhlasí ani s tvrdením, že transfer 17 miliónov eur bol naviazaný na akčný plán, keďže tento plán nebol schválený a neprešiel legislatívnym procesom. "Pán minister obhajuje neobhajiteľné, vie veľmi dobre, že tieto kšefty sa nedajú vysvetliť. Žiadame, aby peniaze boli vrátené do štátnej kasy a veríme, že sa našim trestným oznámením budú zaoberať orgány činné v trestnom konaní," uzavrela Remišová.
Strana poskytla celú tlačovú zmluvu médiám:
Za ľudí