COVID AUTOMAT: Pribudlo 6 červených okresov, neočkovaní v nich majú zákaz vstupu do fitnesscentier
Máte vypnuté reklamy
Vďaka financiám z reklamy prinášame kvalitné a objektívne informácie. Povoľte si prosím zobrazovanie reklamy na našom webe. Ďakujeme, že podporujete kvalitnú žurnalistiku.
BRATISLAVA / Okres Rožňava prechádza do nižšej farby s vyšším rizikom už od 9. septembra kvôli zhoršenej epidemickej situácii. Okrem Rožňavy bude v červenej farbe od 13. septembra ďalších 6 okresov.
Aktuálna epidemická situácia na Slovensku
Slovensko je medzi najrýchlejšie rastúcimi krajinami na svete, podľa údajov z utorka sme na štvrtom mieste v rýchlosti rastu nových prípadov ochorenia COVID-19. O aktuálnej epidemickej situácii v stredu po rokovaní vlády informoval Riaditeľ Inštitútu zdravotných analýz Ministerstva zdravotníctva SR Matej Mišík. Podobná situácia ako u nás je v celej strednej Európe. Mišík upozornil, že vidno, ako sa tretia vlna pandémie presunula cez západnú, strednú až do východnej Európy. "Rýchlosť rastu je v našom regióne najvyššia,“ dodal.
Covid automat: Aktuálna situácia na Slovensku a v susedných štátoch
Od 13. septembra rozdelenie okresov:
- MONITORING (zelená farba): okres Bratislava I.-V., okres Dunajská Streda, okres Galanta, okres Hlohovec, okres Humenné, okres Komárno, okres Malacky, okres Medzilaborce, okres Námestovo, okres Nové Zámky, okres Pezinok, okres Poltár, okres Púchov, okres Ružomberok, okres Senec, okres Stropkov, okres Trnava, okres Zlaté Moravce,
- OSTRAŽITOSŤ(oranžová farba): okres Bánovce nad Bebravou, okres Banská Bystrica, okres Banská Štiavnica, okres Bardejov, okres Brezno, okres Čadca, okres Detva, okres Dolný Kubín, okres Gelnica, okres Ilava, okres Kežmarok, okres Košice-okolie, okres Kysucké Nové Mesto, okres Levice, okres Levoča, okres Liptovský Mikuláš, okres Lučenec, okres Martin, okres Michalovce, okres Myjava, okres Nitra, okres Nové Mesto nad Váhom, okres Partizánske, okres Piešťany, okres Považská Bystrica, okres Prešov, okres Prievidza, okres Revúca, okres Rimavská Sobota, okres Sabinov, okres Šaľa, okres Senica, okres Snina, okres Sobrance, okres Spišská Nová Ves, okres Stará Ľubovňa, okres Svidník, okres Topoľčany, okres Trebišov, okres Turčianske Teplice, okres Tvrdošín, okres Veľký Krtíš, okres Vranov nad Topľou, okres Žarnovica, okres Žiar nad Hronom, okres Žilina, okres Zvolen
- I.STUPEŇ OHROZENIA (červená farba): okres Bytča, okres Košice I.-IV., okres Krupina, okres Poprad, okres Skalica, okres Trenčín;
Covid automat: Nové rozdelenie okresov
"Pozorujeme výrazný nárast v počtoch prípadov, ale aj hospitalizácií. Za ostatných sedem dní evidujeme takmer 80 nových pacientov prijatých do nemocníc s diagnózou COVID-19,“ uviedol na tlačovej besede Mišík. Ide o 80 percentný nárast v porovnaní s minulým týždňom. Ventilovaných pacientov je o 225 percent viac. Počet prípadov sa oproti minulému týždňu viac ako zdvojnásobil.
Oproti minulému týždňu sa zdvojnásobil aj počet výjazdov záchrannej zdravotnej služby k pacientom s COVID-19. Najviac výjazdov bolo v Košickom a Prešovskom kraji. "Prijímame do nemocníc približne 11 pacientov denne, v minulom týždni to bolo iba asi sedem pacientov denne. Z toho vyplýva, že približne sedem až osem percent identifikovaných prípadov je následne prijatých do nemocnice,“ uviedol Mišík.
Covid automat: Stav v nemocniciach
Z hospitalizovaných pacientov 90 percent nie je vôbec zaočkovaných
Z hospitalizovaných pacientov 90 percent nie je vôbec zaočkovaných alebo s jednou dávkou vakcíny, deväť percent je plne zaočkovaných. U plne zaočkovaných hospitalizovaných je priemerný vek 67 rokov, u nezaočkovaných je to 60 rokov.
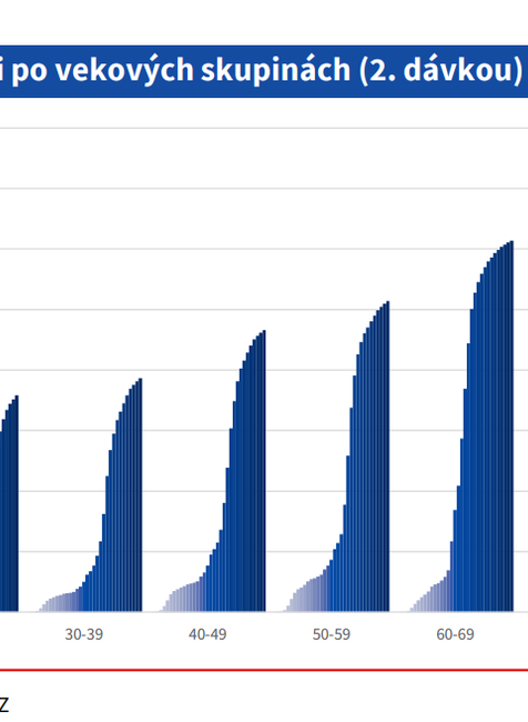
Zaočkovaných Slovákov vo veku nad 12 rokov je už viac ako 50 percent, čo je takmer 2,4 milióna obyvateľov. Epidemická situácia sa však podľa COVID automatu zhoršila v 43 okresoch.
Covid automat: Aktuálny stav zaočkovanosti na Slovensku
V červenom okrese už môžu prevádzky otvárať napríklad terasy iba pre očkovaných, alebo v skupine OTP
Tri hlavné skupiny:
-
Pod “základom” sa pre potreby Covid Automatu v4 myslia všetky osoby bez ohľadu na ich prípadné očkovanie, prekonanie choroby či výsledok testovania.
-
Pod “OTP” sa pre potreby Covid Automatu v4 myslia výlučne len osoby, ktoré sú plne Očkované, Testované (od odberu PCR 72 hodín, Ag 48 hodín), alebo ochorenie COVID-19 Prekonali za ostatných 180 dní.
-
Pod “kompletne zaočkovanou osobou” sa pre potreby Covid Automatu v4 myslia osoby, ktoré sú (1) 14 dní po druhej dávke dvoj-dávkovej vakcíny, alebo (2) 21 dní po jedno-dávkovej vakcíne alebo (3) 14 dní po akejkoľvek dávke ak osoba prekonala ochorenie COVID-19 za ostatných 180 dní.
Faktory pre výpočet v akej farbe sa nachádza okres:
-
7 dňová incidencia v danom okrese, do úvahy sa berú všetky testy - aj PCR, aj antigén.
-
Zaočkovanosť okresu, konkrétne počet zaočkovaných nad 50 rokov veku.
Ak je nad 55% upravuje stupeň Covid Automat o 1 stupeň lepšie, za každých ďalších 10% plne očkovaných osôb. Prvá úprava smerom k lepšiemu nastáva pri 65% plnej zaočkovanosti tejto skupiny ľudí v okrese. -
Lokálny epidemiológ na RÚVZ má možnosť výsledné skóre pozmeniť o jeden stupeň nahor (tmavšia farba), alebo nadol (svetlejšia farba), pri zmene sa vyžaduje písomné zdôvodnenie, ktoré je uverejnené.
-
Vývoj je hodnotený s predchádzajúcim týždňom, do prísnejšej farby môže prejsť okres okamžite - z týždňa na týždeň, k lepšej farbe treba potvrdenie nasledujúceho týždňa.
-
Susedné okresy sa nemôžu líšiť o viac ako 1 stupeň, okolité okresy sa prispôsobia farbe rizikovejšieho okresu, aby rozdiel medzi nimi bol maximálne 1 stupeň oproti kalkulovanej úrovni rizika.
Covid automat: Nové pravidlá
Prípadová štúdia
Bohoslužby
Pri bohoslužbách vidieť rozdiel s hromadnými podujatiami. Keď v čiernej farbe sú hromadné podujatia pre skupinu "základ" zakázané, bohoslužby sú povolené s obmedzením.
-
Chcem navštíviť bohoslužbu:
Som plne zaočkovaný:
- V zelenej a oranžovej farbe bez obmedzenia, bez potreby testu.
- V červenej a bordovej farbe je potrebné mať zoznam účastníkov.
- V čiernej, najrizikovejšej farbe, je obmedzený počet 100 osôb.
Som v skupine OTP:
- V zelenej farbe je na státie max. 50% kapacity, na sedenie v interiéri aj exteriéri 75%.
- V oranžovej farbe v interiéri na sedenie na 25% a v exteriéri 50% kapacity.
- V 1. stupni ohrozenia (červená farba) maximálna kapacita 25%, pokiaľ nie je určená celoplošne na max. do 150 osôb. Takisto je povinný zoznam účastníkov.
- V bordovej farbe maximálne 25% kapacity. Maximálne 50 osôb a povinný zoznam účastníkov.
- V najrizikovejšej farbe je max. 1 osoba na 15 metrov štvorcových s povinným zoznamom účastníkov.
Som v skupine základ:
- V zelenej farbe na státie max 50% kapacity, na sedenie v interiéri aj exteriéri 75%, maximálne do 1 000 osôb v exteriéri, do 500 v interiéri.
- V oranžovej farbe v interiéri sedenie na 25% a v exteriéri 50% kapacity, maximálne však do 200 osôb v exteriéri, do 100 v interiéri, na státie v exteriéri 100 a v interiéri 50 a je povinný zoznam účastníkov
- V červenej farbe je max. 1 osoba na 15 metrov štvorcových a povinný zoznam účastníkov
- V bordovej farbe je max. 1 osoba na 15 metrov štvorcových a povinný zoznam účastníkov
- V čiernej farbe je max. 1 osoba na 25 metrov štvorcových a povinný zoznam účastníkov
-
Chcem navštíviť hromadné podujatie:
Som plne zaočkovaný:
- V zelenej a oranžovej farbe bez obmedzenia, bez potreby testu.
- V červenej a bordovej farbe je potrebné mať zoznam účastníkov.
- V čiernej, najrizikovejšej farbe, je obmedzený počet 100 osôb a povinný zoznam účastníkov za prísnych protiepidemických opatrení
Som v skupine OTP:
- V zelenej farbe je na státie max. 50% kapacity, na sedenie v interiéri aj exteriéri 75%.
- V oranžovej farbe v interiéri sedenie na 25% a v exteriéri 50% kapacity. Pokiaľ nie je určiteľná kapacita maximálne do 1000 osôb v exteriéri, do 500 v interiéri
- V 1. stupni ohrozenia (červená farba) maximálne 25% kapacity. Pokiaľ nie je určiteľná kapacita maximálne do 150 osôb a povinný zoznam účastníkov
- V bordovej farbe maximálne 25% kapacity. Pokiaľ nie je určiteľná kapacita maximálne do 50 osôb a povinný zoznam účastníkov
- V najrizikovejšej farbe je zakázané
Som v skupine základ:
- V zelenej farbe na státie max 50% kapacity, na sedenie v interiéri aj exteriéri 75%, maximálne však do 1000 osôb v exteriéri, do 500 v interiéri, obmedzenia podľa príslušného semaforu, obmedzenia podľa plochy priestoru
- V oranžovej farbe v interiéri sedenie na 25% a v exteriéri 50% kapacity, maximálne však do 200 osôb v exteriéri, do 100 v interiéri, na státie v exteriéri 100 a v interiéri 50, obmedzenia podľa príslušného semaforu a povinný zoznam účastníkov
- V červenej farbe je maximálne 10 osôb, obmedzenia podľa príslušného semaforu a povinný zoznam účastníkov
- V bordovej farbe je maximálne 6 osôb a povinný zoznam účastníkov
- V čiernej farbe je zakázané.
-
Chcem navštíviť fitness centrum:
Som plne zaočkovaný:
- V zelenej a oranžovej farbe bez obmedzenia, bez potreby testu.
- V červenej farbe max. 50 osôb alebo min. 15 m2 / osobu
- V bordovej farbe max. 20 osôb alebo min. 15 m2 / osobu
- V čiernej farbe je zakázané.
Som v skupine OTP:
- V zelenej farbe max. 50 osôb alebo min. 15 m2 / osobu
- V oranžovej farbe max. 20 osôb alebo min. 15 m2 / osobu a povinný zoznam účastníkov
- V 1. stupni ohrozenia (červená farba) max. 10 osôb alebo min. 25 m2 / osobu a povinný zoznam účastníkov
- V bordovej farbe je zakázané.
- V čiernej farbe zakázané.
Som v skupine základ:
- V zelenej farbe max. 25 osôb a povinný zoznam účastníkov.
- V oranžovej farbe max. 10 osôb a povinný zoznam účastníkov.
- V červenej farbe je zakázané.
- V bordovej farbe je zakázané.
- V čiernej farbe je zakázané.
-
Chcem ísť do reštaurácie:
Som plne zaočkovaný:
- V zelenej farbe bez obmedzenia
- V oranžovej farbe v interiéri 4 osoby pri stole alebo osoby z jednej domácnosti, 2 metre rozostupy medzi stolmi. Exteriér bez obmedzení.
- V červenej farbe v interiéri 4 osoby pri stole alebo osoby z jednej domácnosti, 2 metre rozostupy medzi stolmi. Exteriér bez obmedzení.
- V bordovej farbe v interiéri 4 osoby pri stole alebo osoby z jednej domácnosti, 2 metre rozostupy medzi stolmi. Exteriér bez obmedzení
- V čiernej farbe bude okienkový predaj (zachovaný zostáva aj rozvoz)
Som v skupine OTP:
- V zelenej farbe bez obmedzenia
- V oranžovej farbe v interiéri 4 osoby pri stole alebo osoby z jednej domácnosti, 2 metre rozostupy medzi stolmi. Exteriér bez obmedzení.
- V červenej farbe v interiéri 4 osoby pri stole alebo osoby z jednej domácnosti, 2 metre rozostupy medzi stolmi. Exteriér bez obmedzení.
- V bordovej farbe bude okienkový predaj (zachovaný zostáva aj rozvoz) a terasy 2 metre rozostupy medzi stolmi, otvorené minimálne 50% stien
- V čiernej farbe bude okienkový predaj (zachovaný zostáva aj rozvoz)
Som v skupine základ:
- V zelenej farbe bez obmedzenia
- V oranžovej farbe môžu byť otvorené terasy do 10 osôb, otvorené minimálne 50% stien
- V červenej farbe bude okienkový predaj (zachovaný zostáva aj rozvoz)
- V bordovej farbe bude okienkový predaj (zachovaný zostáva aj rozvoz)
- V čiernej farbe bude okienkový predaj (zachovaný zostáva aj rozvoz)